全文检索
首页
>
信息公开
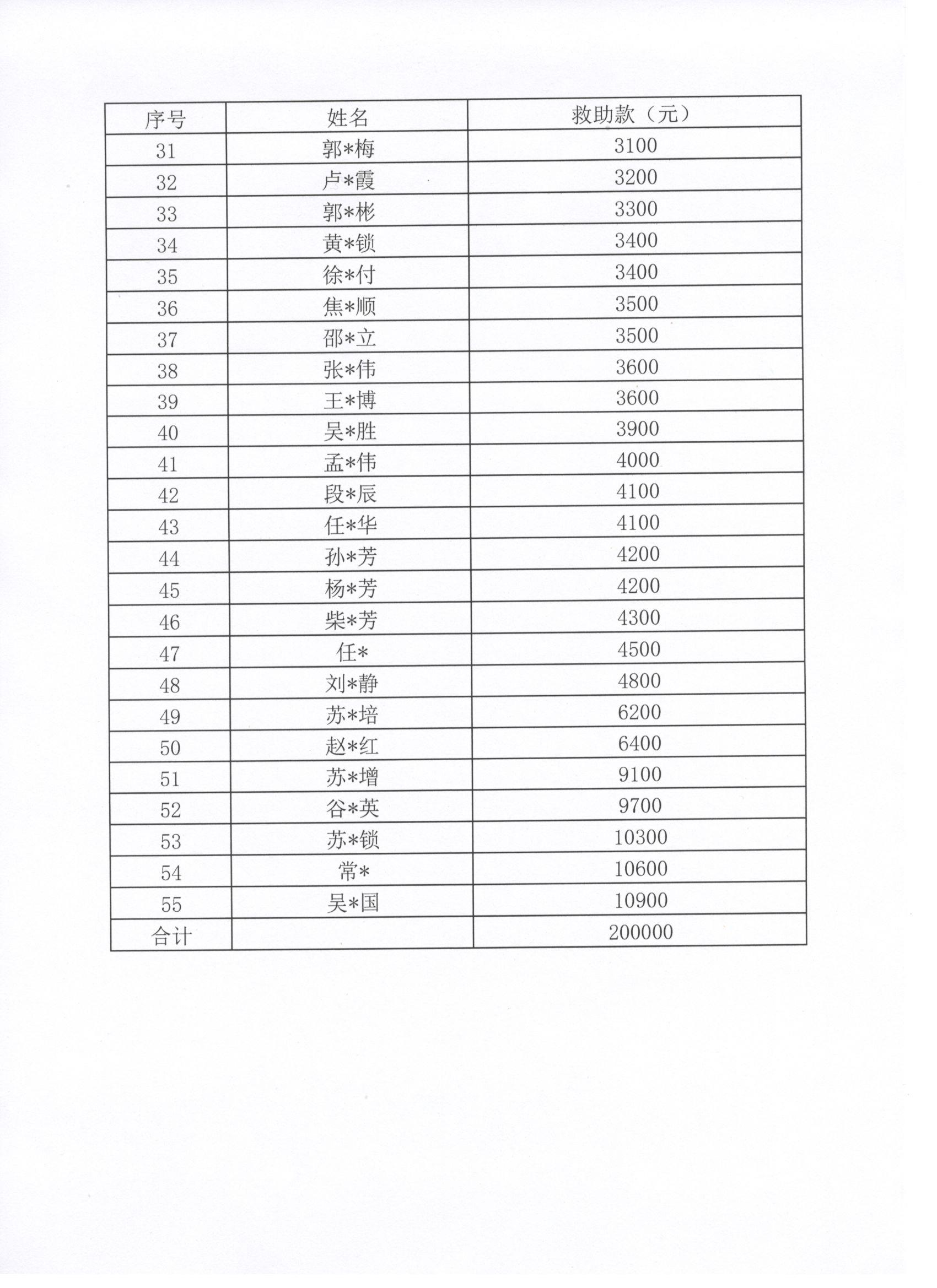
栾城区红十字会2023年人道医疗救助公示表
发布时间:2024-01-31 10:29:30 来源: 发布者: 浏览453 次